Search for Articles:

Contents

Impact of fractional-hyperbolic model with ramped heat source/sink on transient free convection flow in a vertical channel

Basant Kumar Jha1, Ismaila Olatoye Oyelade1
1Department of Mathematics, Ahmadu Bello University, Zaria, Kaduna State, 810107, Nigeria
Copyright © Basant Kumar Jha, Ismaila Olatoye Oyelade. This is an open access article distributed under the Creative Commons Attribution License, which permits unrestricted use, distribution, and reproduction in any medium, provided the original work is properly cited.

Abstract

The analysis of the fractional time-derivative model of the Caputo-Fabrizio and Atangana-Baleanu in Caputo sense with the ramped temperature on transient free convection flow in the vertical plates with isothermal boundary conditions has been established. The Laplace transform scheme was adopted in solving the governing equations, and semi-analytical solutions were achieved through the inversion of the solutions from the Laplace purview to the time purview. It found that the temperature and velocity obtained via the CF model are higher than ABC model, and the fractional parameters reduced the temperature and slowed down the movement of the fluid. It is perceived that relaxation time parameters boost the temperature and heighten the fluid’s movement. Also noted that the negative augment in the value of the heat source/sink caused retardation in the movement of the fluid, while the positive increment of the heat source/sink heightened the movement of the fluid. Similarly, it is observable that the temperature produced through a ramped temperature is higher than the constant temperature.

Keywords: fractional time-derivative, ramped temperature, transient free convection

1. Introduction

The relevance and importance of free convection flow in vertical plates in medical, science, and engineering have been the center and major inspiration for a considerable number of researchers to continually investigate the natural convection flow with the well-formulated and modeled governing equations in different forms. The applications and usefulness of time-dependent natural convection flow are countless to enlist such including: cooling of nuclear reactor systems, food processing, cooling of electronic systems, pharmaceutical processing, forecasting of weather, designing of medical devices, and others. For many years, the investigation of numerous researchers on time-dependent free convection flow in an upright channel has been repeatedly revealing the imperative of natural convection in science, medical, and engineering, with the strong recommendation to be used owing to its effectiveness and low cost in practice over other modes of heat transfer. A few numbers of investigations, through some competent researchers, on time-dependent natural convection flow in a vertical channel from the launch with different physical conditions under the construction of governing equations that are responsible for the flow of the fluid and heat transfer in the vertical channel are there in the literature [13]. Singh et al. [4] presented an exemplary result through the investigation of transient free convection flow between the two parallel plates with isothermal boundary conditions. The governing equations for the flow of the fluid and heat transfer were solved exclusively by applying the Laplace transform techniques, and exact solutions were obtained for velocity, temperature, skin friction, mass flux, and steady-state solutions. Their work revealed that an increment in the time \(t\) leads to an increase in velocity and temperature, and an increase in the Prandtl (\(Pr\)) number causes a decline in the movement of the fluid and transfer of the heat in the system.

The consequence of isothermal and isoflux boundary conditions on transient free convection flow in a vertical channel was studied by Paul et al. [6], and the technique of the Laplace transform was applied to solve the governing equations. The exact solutions were achieved, and they concluded that both temperature and velocity profile increase with an increase in time and an increase in \(Pr\), which steps down the flow of the fluid and heat transfer. Similarly, the investigation on transient natural convection in an erect channel with isoflux and adiabatic conditions was carried out by Paul et al. [6], and exact solutions were presented via the Laplace transform scheme. They observed that an insignificant influence on temperature was noticed at the insulated plate at the large value of \(Pr\). The work of Paul et al. [5] was extended by Jha and Oyelade [7] through the concept of the DPL model with isoflux and isothermal boundary conditions on transient free convection flow. In their work, the Laplace transform method was employed to solve the momentum and energy equations, and semi-analytical solutions were achieved through the inversion of the solutions from the Laplace purview to the time purview. They concluded that the effects of relaxation and retardation time on velocity and temperature are respectively converse to each other. Also, observed and affirmed that the work of Jha and Oyelade [7] and Paul et al. [5] are the same in the nonexistence of relaxation and retardation time. Other related articles with different approaches to natural convection flow are: Jha and Ajibade [8], Khadrawi and Al-Nimr [9], Narahari et al. [10], Rajput and Sahu [11], Mandal et al. [12], Ravi et al. [13], and Narahari [14].

The fractional derivative has become a substantial tool to investigate complex problems in medical, Engineering, and Science, and it has been used in electrical circuit configuration, signal analysis, biomedicine, heat transfer, and others. Amidst the fractional operators, Caputo [15] used a singularity kernel to establish a fractional derivative, and Imran et al. [16] adopted his operator to examine the arbitrary velocity and Newtonian heating on natural convection flow. Caputo and Fabrizio [17] modified the fractional operator proposed by Caputo [15] with an exponential function without a singularity kernel and called the Caputo-Fabrizio (CF) fractional derivative model. The approach of CF model was used in the work of Shah et al. [18] to investigate free convection flow over a vertical plate. Similarly, the Mittag-Leffler function was used by Atangana-Baleanu [19] to modify the Caputo fractional operator and called the Atangana-Baleanu in the Caputo sense (ABC) fractional derivative. The ABC model was used by Abro et al. [20] and Tassaddiq [21] to investigate their works. Jha et al. [22] adopted the concept of the CF and ABC model to investigate transient free convection flow in a vertical channel with an isothermal heating process. In their work, semi-analytical solutions were obtained through the Laplace transform scheme in solving the governing equations and reversal of solutions from the Laplace purview to the time purview using the Riemann sum approximation techniques (RSA). They observed that an increase in fractional parameters leads to a decrease in both the velocity and temperature via CF and ABC models. Also noticed that an increase in time \(t\) and relaxation time, \(\lambda_1\) and \(\lambda_2\), enhance the flow of the fluid and heat transfer. They finally concluded that the results in the work of Singh et al. [4] recovered at the nonattendance of \(\lambda_1\) and \(\lambda_2\) i.e. \(\lambda_1\) and \(\lambda_2\) are zero. Other comparative analyses of CF and ABC on convective are Imran et al. [23] and Saeed et al. [24].

The ramped temperature has been a versatile method in many industries where the heating process is required, owing to its usefulness in applications. The application of ramped temperature in Medical, Science, and Engineering is numerous to mention, such as food processing, pharmaceuticals, Energy, electronics, automotive, Aerospace, and others. Many investigations have been carried out by considering the ramped temperature in recognition of the Heaviside pace function. Jha et al. [25] examine the impact of Dufour with ramped temperature and species concentration on transient free convection flow in upright plates. Also, Jha and Gambo [26] investigated the effect of Soret and Dufour with the ramped temperature on transient natural convection heat and mass transfer in the existence of species concentration. In the work of Jha et al. [25] and Jha and Gambo [26], both investigations revealed that the temperature via isothermal boundary conditions is higher than the temperature through ramped temperature conditions. In their respective works, they observed that the results in the work of Singh et al. [4] were recovered in their separate study at the preoccupied of the Soret, Dufour, ramped temperature, and species concentration. Some interesting articles can be checked in the literature [2732 ].

In the aforementioned articles, the authors observed that no investigation had been done on temporary natural convection flow in vertical plates with fractional time-derivative and ramped temperature through the isothermal boundary conditions. Hence, this study aimed to extend the work of Singh et al. [4] with fractional time-derivative and ramped temperature. The semi-analytical solutions are achieved by solving the governing equations under well-posed isothermal boundary conditions through the Laplace transform method and inversion of solutions from the Laplace purview to the time purview using RSA. The analysis of the significant flow and heating parameters is done through the graphical illustration and in tabular form.

2. Formulation of the problem and solution

The flow formation is described in Figure 1 The assumptions made in the work of Singh et al. [4] and Jha et al. [22] are valid in this study with the fractional time-derivative model. Following the governing equations of Jha et al. [22], the dimensionless governing equations with the source term (ramped temperature) on energy equation with the consideration of Boussinesq’s approximation, is presented as follows: \[\label{eq1} D_t u(y,t) + \lambda_1^\alpha D_t^{\alpha+1}u(y,t) = \frac{\partial^2 u(y,t)}{\partial y^2} + \lambda_1^\alpha \tag{1} D_t^\alpha \theta(y,t) + \theta(y,t),\] \[\label{eq2} \tag{2} D_t \theta(y,t) + \lambda_2^\beta D_t^{\beta+1}\theta(y,t) = \frac{1}{Pr}\frac{\partial^2 \theta(y,t)}{\partial y^2} + A\Bigl(F(t)+\lambda_2^\beta D_t^\beta F(t)\Bigr),\] where \(D_t=\dfrac{\partial(\cdot)}{\partial t}\) is a time-derivative operator.

The initial condition \[\label{eq3} u(y,t)=0,\quad D_tu(y,t)=0,\quad \theta(y,t)=0,\quad D_t\theta(y,t)=0 \quad \text{for } 0\le y\le 1,\ t\le 0.\tag{3}\]

The boundary conditions \[\label{eq4} t>0:\quad \begin{cases} u(y,t)=0,\ \theta(y,t)=1, & y=0,\\ u(y,t)=0,\ \theta(y,t)=0, & y=1, \tag{4} \end{cases}\] \[\label{eq5} \tag{5} F(t)=\frac{1}{t_0}\bigl[tH(t)-(t-t_0)H(t-t_0)\bigr],\] and \[\label{eq6} F(t)= \begin{cases} \dfrac{t}{t_0}, & 0<t\le t_0,\\ 1, & t>t_0. \tag{6} \end{cases}\]

The dimensionless quantities are presented as follows: \[\label{eq7} y=\frac{y'}{d},\quad t=\frac{t' \nu}{d^2},\quad t_0=\frac{t_0' \nu}{d^2},\quad U=\frac{u'\nu}{d^2 \beta_f g(T_w-T_d)},\quad \theta=\frac{T'-T_d}{T_w-T_d}, \tag{7}\] \[\label{eq8} A=\frac{A'd^2}{\nu \rho c_p (T_w-T_d)},\quad Pr=\frac{\mu c_p}{k},\quad \lambda_1=\frac{\lambda_1' \nu}{d^2},\quad \lambda_2=\frac{\lambda_2' \nu}{d^2}. \tag{8}\]

Figure 1 Geometry of the flow formation

2.1. CASE I: Solution of the problem with the CF model

Let \(V(y,t)\) be a continuous function and the Laplace transformation on \(V(y,t)\) is written as: \[\label{eq9} L[V(y,t)] = \int_0^\infty V(y,t)e^{-pt}\,dt,\qquad \bar V(y,p)=\int_0^\infty V(y,t)e^{-pt}\,dt,\qquad p>0.\tag{9}\]

The CF model on \(V(y,t)\) and its Laplace transformation is written in Eqs. (10), (11) as: \[\label{eq10} D_t^{CF,\alpha}V(y,t)= \frac{1}{1-\alpha}\int_0^t e^{-\alpha\left(\frac{t-m}{1-\alpha}\right)} \frac{\partial V(y,m)}{\partial m}\,dm,\qquad \alpha\in(0,1), \tag{10}\] \[\label{eq11} L\!\left[D_t^{CF,\alpha}V(y,t)\right] = \frac{pL[V(y,t)]-V(y,0)}{(1-\alpha)p+\alpha}. \tag{11}\]

Applying Eq. (11) together with initial conditions in Eq. (3) on Eqs. (1)-(2) and (4)-(6)and the governing equations in the Laplace domain with boundary conditions are presented as follows: \[\label{eq12} \frac{d^2\bar U}{dy^2}-pK\bar U=-D\bar\theta,\tag{12}\] \[\label{eq13} \frac{d^2\bar\theta}{dy^2}-pN\bar\theta=-AR\bar F,\tag{13}\] \[\label{eq14} \bar F(p)=\frac{1}{p^2 t_0}\left(1-e^{-pt_0}\right). \tag{14}\]

Boundary conditions \[\label{eq15} \bar U(y,p)=0,\qquad \bar\theta(y,p)=\frac{1}{p}\qquad \text{at } y=0,\tag{15}\] \[\label{eq16} \bar U(y,p)=0,\qquad \bar\theta(y,p)=0\qquad \text{at } y=1. \tag{16}\]

where \[K=1+\frac{\lambda_1^\alpha}{1+\alpha-\alpha p},\qquad D=1+\frac{p\lambda_1^\alpha}{(1-\alpha)p+\alpha},\] \[N=Pr\left[1+\frac{\lambda_2^\beta}{\beta+1-\beta p}\right],\qquad R=Pr\left[1+\frac{p\lambda_2^\beta}{(1-\beta)p+\beta}\right].\]

The solution of Eqs. (12)-(13) under the boundary conditions in Eqs. (15)-(16) are: \[\label{eq17} \bar\theta(y,p)_{CF} = \frac{(N-AR\bar F(p))\sinh\!\bigl(\sqrt{pN}(1-y)\bigr) + AR\bar F(p)\bigl(\sinh(\sqrt{pN})-\sinh(y\sqrt{pN})\bigr)} {pN\sinh(\sqrt{pN})}, \tag{17}\] \[\label{eq18} \bar U(y,p)_{CF} = \frac{W_1+W_2+W_3-W_4}{p^2N(N-K)\sinh(\sqrt{pK})\sinh(\sqrt{pN})} – \frac{W_5}{p^2KN\sinh(\sqrt{pK})}, \tag{18}\] where \[\begin{aligned} W_1=&D(N-AR\bar F(p))\sinh(\sqrt{pN})\sinh\!\bigl(\sqrt{pK}(1-y)\bigr),\\ W_2=&D(AR\bar F(p)-N)\sinh(\sqrt{pK})\sinh\!\bigl(\sqrt{pN}(1-y)\bigr),\\ W_3=&DAR\bar F(p)\sinh(y\sqrt{pN})\sinh(\sqrt{pK}),\\ W_4=&DAR\bar F(p)\sinh(\sqrt{pN})\sinh(y\sqrt{pK}),\\ W_5=&DAR\bar F(p)\Bigl(\sinh(\sqrt{pK})(1-y)+\sinh(y\sqrt{pK})-\sinh(\sqrt{pK})\Bigr). \end{aligned}\]

The expression for the skin friction \((\bar\tau_{0CF},\bar\tau_{1CF})\) and mass flux \((\bar Q_{CF})\) are obtained from Eqs. (19)-(21): \[\label{eq19} \bar\tau_{0CF} = \left.\frac{d\bar U}{dy}\right|_{y=0} = \frac{W_6+W_7}{(\sqrt p)^3N(N-K)\sinh(\sqrt{pK})\sinh(\sqrt{pN})} + \frac{W_8}{(\sqrt p)^3N\sqrt K \sinh(\sqrt{pK})}, \tag{19}\] \[\label{eq20} \bar\tau_{1CF} = \left.\frac{d\bar U}{dy}\right|_{y=1} = \frac{W_9+W_{10}}{(\sqrt p)^3N(N-K)\sinh(\sqrt{pK})\sinh(\sqrt{pN})} + \frac{W_{11}}{(\sqrt p)^3N\sqrt K \sinh(\sqrt{pK})}, \tag{20}\] \[\label{eq21} \bar Q_{CF} = \int_0^1 \bar U\,dy = \frac{W_{12}}{W_{13}} + \frac{W_{14}}{W_{15}} + \frac{W_{16}}{W_{17}} + \frac{W_{18}}{W_{19}}. \tag{21}\]

where \[\begin{aligned} W_6 =& D(AR\bar F(p)-N)\Bigl(\sqrt K \sinh(\sqrt{pN})\cosh(\sqrt{pK})-\sqrt N \sinh(\sqrt{pK})\cosh(\sqrt{pN})\Bigr),\\ W_7 =& DAR\bar F(p)\Bigl(\sqrt N\sinh(\sqrt{pK})-\sqrt K\sinh(\sqrt{pN})\Bigr),\\ W_8 =& DAR\bar F(p)\bigl(\cosh(\sqrt{pK})-1\bigr),\\ W_9 =& D(AR\bar F(p)-N)\Bigl(\sqrt K \sinh(\sqrt{pN})-\sqrt N \sinh(\sqrt{pK})\Bigr),\\ W_{10}=&DAR\bar F(p)\Bigl(\sinh(\sqrt{pK})-\sqrt N\sinh(\sqrt{pK})\cosh(\sqrt{pN})\Bigr),\\ W_{11}=&DAR\bar F(p)\Bigl(\sinh(\sqrt{pK})-\cosh(\sqrt{pK})(\cosh(\sqrt{pK})+1)\Bigr),\\ W_{12}=&D(AR\bar F(p)-N)\sinh(\sqrt{pN})\bigl(1-\cosh(\sqrt{pK})\bigr)-DAR\bar F(p)\sinh(\sqrt{pN})\bigl(\cosh(\sqrt{pK})-1\bigr),\\ W_{13}=&(\sqrt p)^5\sqrt K\,N(N-K)\sinh(\sqrt{pK})\sinh(\sqrt{pN}),\\ W_{14}=&D(N-AR\bar F(p))\bigl(1-\cosh(\sqrt{pN})\bigr)+DAR\bar F(p)\bigl(\cosh(\sqrt{pN})-1\bigr),\\ W_{15}=&(\sqrt p)^5(\sqrt N)^3(N-K)\sinh(\sqrt{pN}),\\ W_{16}=&DAR\bar F(p)\left(\sinh^2(\sqrt{pK})+\bigl(\cosh(\sqrt{pK})-1\bigr)^2\right),\\ W_{17}=&(\sqrt p)^5N(\sqrt K)^3\sinh(\sqrt{pK}),\\ W_{18}=&DAR\bar F(p),\\ W_{19}=&p^2NK. \end{aligned}\]

2.2. CASE II: Solution of the problem with the ABC model

The ABC concept on \(V(y,t)\) and together with its Laplace transformation are as follows: \[\label{eq22} D_t^{\alpha,\,ABC}V(y,t) = \frac{J(\alpha)}{1-\alpha} \int_b^t E_\alpha\!\left( -\alpha\left(\frac{(t-m)^\alpha}{1-\alpha}\right) \right) \frac{\partial V(y,m)}{\partial m}\,dm, \qquad \alpha\in(0,1), \tag{22}\] \[\label{eq23} L\!\left[D_t^{\alpha,\,ABC}V(y,t)\right] = \frac{p^\alpha L[V(y,t)]-q^{\alpha-1}V(y,0)}{(1-\alpha)p^\alpha+\alpha}, \tag{23}\] where \(J(\alpha)\) is the standardised function satisfying \(J(1)=J(0)=1\) and \[E_\alpha(-t^\alpha)=\sum_{k=0}^{\infty}\frac{(-t^\alpha)^k}{\Gamma(1+\alpha k)},\] is the Mittag-Leffler function.

The Laplace transformation on Eqs. (1)-(2) via the concept of ABC model in Eq. (23) along with the initial condition from Eq. (3), the following equations are obtained: \[\label{eq24} \frac{d^2\bar U}{dy^2}-pB\bar U=-G\bar\theta, \tag{24}\] \[\label{eq25} \frac{d^2\bar\theta}{dy^2}-pH\bar\theta=-AC\bar F, \tag{25}\] where \[B=1+\frac{\lambda_1^\alpha p^\alpha}{\alpha+1-\alpha p^{\alpha+1}}, \qquad G=1+\frac{\lambda_1^\alpha p^\alpha}{(1-\alpha)p^\alpha+\alpha},\] \[H=Pr\left[1+\frac{\lambda_2^\beta p^\beta}{\beta+1-\beta p^{\beta+1}}\right], \qquad C=Pr\left[1+\frac{p^\beta\lambda_2^\beta}{(1-\beta)p^\beta+\beta}\right].\]

The solutions of Eqs. (24), (25) with the boundary conditions from Eqs. (15), (16) are as follows: \[\label{eq26} \bar\theta(y,p)_{ABC} = \frac{(H-AC\bar F(p))\sinh\!\bigl(\sqrt{pH}(1-y)\bigr) + AC\bar F(p)\bigl(\sinh(\sqrt{pH})-\sin(y\sqrt{pH})\bigr)} {pH\sinh(\sqrt{pH})}, \tag{26}\] \[\label{eq27} \bar U(y,p)_{ABC} = \frac{W_{20}+W_{21}+W_{22}-W_{23}}{p^2H(H-B)\sinh(\sqrt{pB})\sinh(\sqrt{pH})} – \frac{W_{24}}{p^2BH\sinh(\sqrt{pB})}, \tag{27}\] where \[\begin{aligned} W_{20}=&G(H-AC\bar F(p))\sinh(\sqrt{pH})\sinh\!\bigl(\sqrt{pB}(1-y)\bigr),\\ W_{21}=&G(AC\bar F(p)-H)\sinh(\sqrt{pB})\sinh\!\bigl(\sqrt{pH}(1-y)\bigr),\\ W_{22}=&GAC\bar F(p)\sinh(y\sqrt{pH})\sinh(\sqrt{pB}),\\ W_{23}=&GAC\bar F(p)\sinh(\sqrt{pH})\sinh(y\sqrt{pB}),\\ W_{24}=&GAC\bar F(p)\Bigl(\sinh(\sqrt{pB})(1-y)+\sinh(y\sqrt{pB})-\sinh(\sqrt{pB})\Bigr). \end{aligned}\]

The skin friction \((\bar\tau_{0ABC},\bar\tau_{1ABC})\) and mass flux \((\bar Q_{ABC})\) expressions are presented as follows: \[\label{eq28} \bar\tau_{0ABC} = \left.\frac{d\bar U}{dy}\right|_{y=0} = \frac{W_{25}+W_{26}}{(\sqrt p)^3H(H-B)\sinh(\sqrt{pB})\sinh(\sqrt{pH})} + \frac{W_{27}}{(\sqrt p)^3N\sqrt B \sinh(\sqrt{pB})}, \tag{28}\] \[\label{eq29} \bar\tau_{1ABC} = \left.\frac{d\bar U}{dy}\right|_{y=1} = \frac{W_{28}+W_{29}}{(\sqrt p)^3N(N-K)\sinh(\sqrt{pK})\sinh(\sqrt{pN})} + \frac{W_{30}}{(\sqrt p)^3N\sqrt K \sinh(\sqrt{pK})}, \tag{29}\] \[\label{eq30} \bar Q_{ABC} = \int_0^1 \bar U\,dy = \frac{W_{31}}{W_{32}} + \frac{W_{33}}{W_{34}} + \frac{W_{35}}{W_{36}} + \frac{W_{37}}{W_{38}}, \tag{30}\] where \[\begin{aligned} W_{25}=&G(AC\bar F(p)-H)\Bigl(\sqrt B \sinh(\sqrt{pH})\cosh(\sqrt{pB})-\sqrt H \sinh(\sqrt{pB})\cosh(\sqrt{pH})\Bigr),\\ W_{26}=&GAC\bar F(p)\Bigl(\sqrt H\sinh(\sqrt{pB})-\sqrt B\sinh(\sqrt{pH})\Bigr),\\ W_{27}=&GAC\bar F(p)\bigl(\cosh(\sqrt{pB})-1\bigr),\\ W_{28}=&G(AC\bar F(p)-H)\Bigl(\sqrt B \sinh(\sqrt{pH})-\sqrt H \sinh(\sqrt{pB})\Bigr),\\ W_{29}=&GAC\bar F(p)\Bigl(\sinh(\sqrt{pB})-\sqrt H \sinh(\sqrt{pB})\cosh(\sqrt{pH})\Bigr),\\ W_{30}=&GAC\bar F(p)\Bigl(\sinh(\sqrt{pB})-\cosh(\sqrt{pB})(\cosh(\sqrt{pB})+1)\Bigr),\\ W_{31}=&G(AC\bar F(p)-H)\sinh(\sqrt{pH})\bigl(1-\cosh(\sqrt{pB})\bigr)-GAC\bar F(p)\sinh(\sqrt{pH})\bigl(\cosh(\sqrt{pB})-1\bigr),\\ W_{32}=&(\sqrt p)^5\sqrt B\,H(H-B)\sinh(\sqrt{pB})\sinh(\sqrt{pH}),\\ W_{33}=&G(H-AC\bar F(p))\bigl(1-\cosh(\sqrt{pH})\bigr)+GAC\bar F(p)\bigl(\cosh(\sqrt{pH})-1\bigr),\\ W_{34}=&(\sqrt p)^5(\sqrt H)^3(H-B)\sinh(\sqrt{pH}),\\ W_{35}=&GAC\bar F(p)\left(\sinh^2(\sqrt{pB})+\bigl(\cosh(\sqrt{pB})-1\bigr)^2\right),\\ W_{36}=&(\sqrt p)^5H(\sqrt B)^3\sinh(\sqrt{pB}),\\ W_{37}=&GAC\bar F(p),\qquad W_{38}=p^2HB. \end{aligned}\]

The solutions presented in Eqs. (17)-(30) are in a Laplace domain; therefore, the Riemann Sum approximation (RSA) formula in Eq. (31)is adopted to transform those equations from the Laplace domain back to the time domain. Hence, the solutions follow the RSA expression in Eq. (31). The RSA was used in the work of Jha et al. [7] and Jha and Oyelade [22]. \[\label{eq31} L^{-1}[\bar V(y,t)] = V(y,t) = \frac{e^{\varepsilon t}}{t} \left[ \frac{1}{2}\bar V(y,\varepsilon) + \Re \sum_{n=1}^{\infty} \bar V\left(y,\varepsilon+\frac{in\pi}{t}\right)(-1)^n \right]. \tag{31}\]

The steady-state exact solutions for temperature \(\theta(y)_{ss}\), velocity \(U(y)_{ss}\), skin friction \((\tau_{0ss},\tau_{1ss})\), mass flux \(Q(y)_{ss}\) are obtained by letting \(\dfrac{d(\cdot)}{dt}=0\) in Eqs. (1),(2), and results are written in Eqs. (32)-(36): \[\label{eq32} \theta(y)_{ss}=\frac{APr}{2}(y-y^2)+1-y, \tag{32}\] \[\label{eq33} U(y)_{ss}=\frac{APr}{24}(y^4-2y^3+y)+\frac{1}{6}(y^3-3y^2+2y), \tag{33}\] \[\label{eq34} \tau_{0ss}=\left.\frac{dU(y)_{ss}}{dy}\right|_{y=0}=\frac{APr+8}{24}, \tag{34}\] \[\label{eq35} \tau_{1ss}=\left.\frac{dU(y)_{ss}}{dy}\right|_{y=1}=\frac{APr+4}{24}, \tag{35}\] \[\label{eq36} Q(y)_{ss}=\int_0^1 U(y)_{ss}\,dy=\frac{APr}{120}. \tag{36}\]

3. Analysis of the results

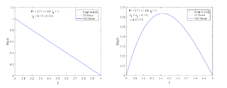
The impact of the fractional time-derivative model of Caputo-Fabrizio (CF) and Atangana-Baleanu in Caputo sense (ABC) and ramped temperature with isothermal boundary conditions on temporary natural convection flow in a vertical plates of separated distance has been investigated. Through the solving of the dimensionless governing equations with the Laplace transform scheme and the reverse of the solutions from the Laplace purview to the time purview, the semi-analytical solutions were obtained. For the numerical tabulation and graphical demonstration, the following numerical values are assigned to the pertinent parameters: \(Pr=0.71\) and \(7.0\), \(\lambda_1=0.1\), \(\lambda_2=0.1\), \(A=1\), \(t_0=1\), \(t=0.6\), \(\beta=0.4\), and \(\alpha=0.4\). Figures 2(a) and (b) demonstrate the uniqueness of the results obtained through the CF and ABC model with Singh et al. [4]. It is confirmed that the temperature and velocity of the present study via CF and ABC are the same as the temperature and velocity of Singh et al. [4] at the preoccupied of \(\lambda_1\), \(\lambda_2\) and \(A\) i.e. \(\lambda_1=0\), \(\lambda_2=0\) and \(A=0\). This established the accuracy of the method used in the present work.

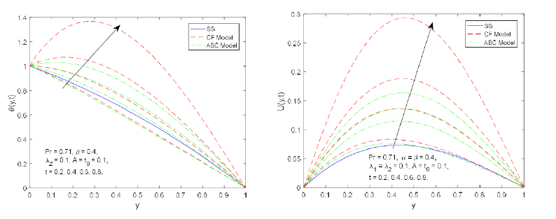
Figures 3(a) and (b) portray the effect of the increment of time \(t\) on temperature and velocity at \(Pr=0.71\). It is witnessed that both velocity and temperature upsurge with the rise in time. This implies that the heat and movement of the fluid increase with an increase in time. At \(t=0.2\) in Figure 3(a), it can be seen that the temperature via CF and ABC is akin. This shows that both CF and ABC models produced the same heat. It is clear to see that the velocity and temperature through CF are higher that ABC model. This indicates that the heat and movement of the fluid produced by CF model is higher than the ABC model. It is noted that temperature and velocity via CF and ABC reach the steady state at a very large time, and the steady state corresponds to the steady state’s expression in Eqs.(32), (33).

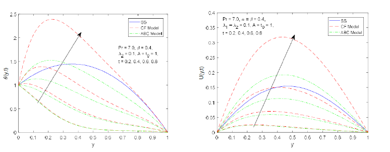
Figures 4(a) and (b) demonstrate the consequence of the increase of time \(t\) on temperature and velocity at \(Pr=7.0\). It is noticed that both velocity and temperature via CF and ABC models increase with the increase in time \(t\) and are observed to be the same at \(t=0.2\). It is observed that the heat generation and the movement of the fluid are incredibly higher when \(t=0.8\). This implies that, at higher time, the delay in temperature has less effect. It is remarked that the value of temperature and velocity through CF model is higher than the ABC model. This shows that ABC model has higher memory than CF model due to the Mittag-Leffler function used in ABC model. The steady state of temperature and velocity by CF and ABC in Figures 4(a) and (b) are noticed at a considerably large value of time \(t\) and match the expression obtained in Eqs. (32),(33).

Figures 5(a) and (b) demonstrate the impact of fractional parameter \(\beta\) on temperature and velocity when \(Pr=0.71\). As \(\beta\) increases, it is found that both temperature and velocity decrease regardless of the fractional time-derivative model, CF and ABC. This shows that an increment in the fractional parameter \(\beta\) slows down the generation of the heat and reduces the movement of the fluid. It is observed that the temperature via CF and ABC in Figure 5(a) is the same at \(\beta=1.0\). Since the temperature via CF and ABC is the same at \(\beta=1\), it implies that the obtained result for temperature is related to the classical model of the energy equation. Similarly, it can be seen from Figure 5(b) that the increment of \(\beta\) has a more significant effect on the movement of the fluid at the centre of the channel compared to its effect near the plate at \(y=0\) and \(y=1\).

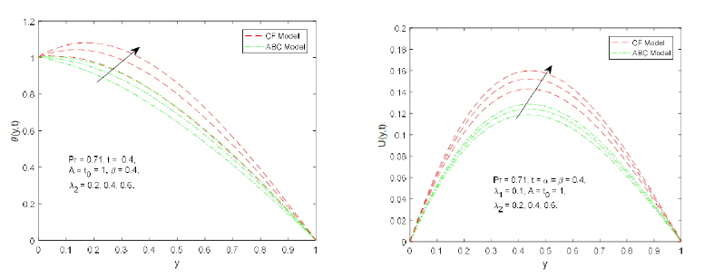
Figures 6(a) and (b) demonstrate the influence of an increment of \(\lambda_2\) on temperature and velocity obtained through the CF and ABC model. It found that both temperature and velocity increase with an increment in \(\lambda_2\). This means that an increment in \(\lambda_2\) enhanced the generation of heat and boosted the movement of the fluid across the system. It is observed that the temperature via CF at \(\lambda_2=0.2\) and temperature via ABC at \(\lambda_2=0.6\) are akin to each other. It means that the spreading of the heat from the heat source to the system is relatively the same through the CF and ABC models at \(\lambda_2=0.2\) and \(\lambda_2=0.6\) respectively. Obviously, it can be seen that the temperature and velocity in the case of CF model are higher than ABC model. It shows that the CF model produces a vast amount of heat and higher movement of the fluid than ABC model with respect to \(\lambda_2\) augmentation.

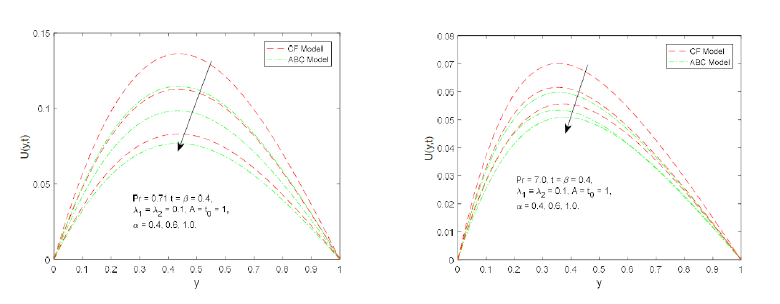
Figures 7(a) and (b) depict the effect of fractional parameter \(\alpha\) on CF and ABC velocity. It is observed that the velocity keeps dropping as the fractional parameter \(\alpha\) upsurges. This means that an increment in \(\alpha\) leads to the slowdown of the fluid’s movement. It is noticed from Figure 7(b) that the movement of the fluid via ABC remains constant towards the plate at \(y=1\) when \(\alpha\) is \(0.4\) and \(0.6\).

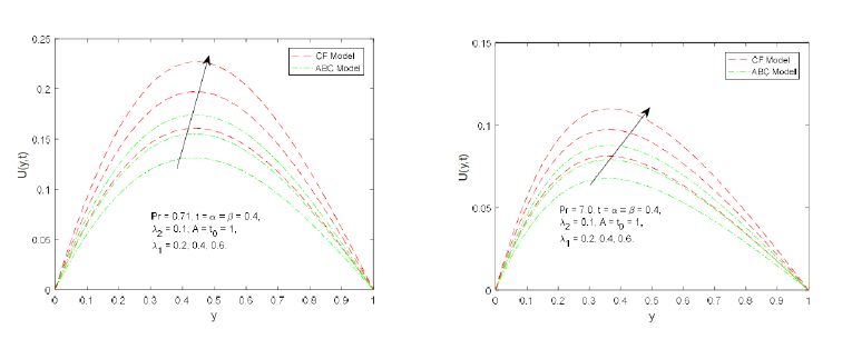
Figures 8(a) and (b) demonstrate the influence of \(\lambda_1\) on velocity achieved through CF and ABC. It is perceived that velocity rises with an increase in \(\lambda_1\). This demonstrates that the augmentation in \(\lambda_1\) enhance and boost the movement of the fluid. Also established that the movement of the fluid through CF model is more swift than ABC model.

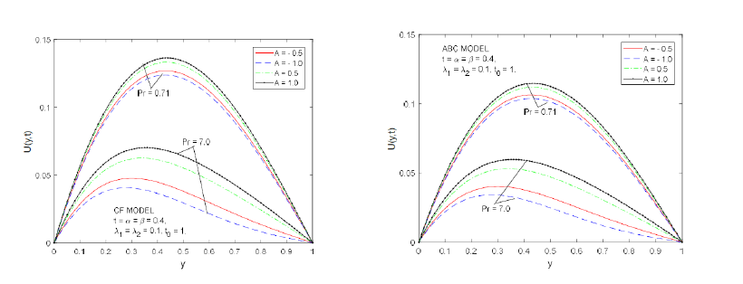
Figures 9(a) and (b) illustrate the effect of \(A\) on velocity acquired via CF and ABC. In both figures, it was found that a negative increment in \(A\) leads to an increase in the velocity of the fluid. It means that the negative augment in the value of \(A\) retard the fluid movement. It is observed that a positive increment of \(A\) resulted in an increase in velocity in both figures. This shows that the positive increase in the value of \(A\) enhances the fluid movement. Also observed in both figures that the velocity through CF is higher than ABC.

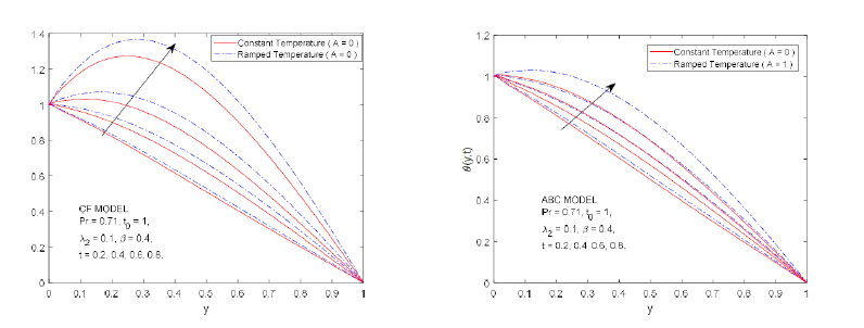
Figures 10(a) and (b) demonstrate the influence of an increment of time \(t\) on CF and ABC temperature with the relationship of constant and ramped temperature. It is observed that both CF and ABC temperatures are increasing with an increase in time, and the temperature produced through a ramped temperature is higher than the constant temperature. This shows that heat is generated more quickly through a ramped temperature than a constant temperature at a large value of time. Also, the delay in the temperature has less effect when the value of time is gradually increasing. In both figures, it was found that the temperature via CF and ABC are the same at time \(t=0.2\).

Table 1 demonstrates the effect of significant parameters on skin friction. It found that the numerical values for skin friction in the work of Singh et al. [4] were obtained when \(\lambda_1=0\), \(\lambda_2=0\) and \(A=0\). This shows the good relationship between the present study and the work of Singh et al. [4]. It is observed in the present study that the skin friction increases with an increase in time \(t\) and reduces with an increase in the \(Pr\). This implies that the fluid has higher friction when \(Pr\) is smaller. It is also noticed that the fluid has higher friction via CF than ABC.

Table 1 The numerical value of the skin friction
\(t\) \(Pr\) \(\tau_0\) \(\tau_1\) \(\tau_0\) \(\tau_1\) \(\tau_{0CF}\) \(\tau_{0ABC}\)
0.2 0.71 0.2670 0.1004 0.2671 0.1005 0.4751 0.4351
0.4 0.71 0.3218 0.1551 0.3219 0.1551 0.6455 0.5580
0.6 0.71 0.3316 0.1649 0.3317 0.1649 0.8191 0.6274
0.8 0.71 0.3331 0.1664 0.3332 0.1664 1.1795 0.7200
0.2 7.0 0.1383 0.0102 0.1384 0.0102 0.2550 0.2335
0.4 7.0 0.1931 0.0388 0.1931 0.0389 0.4490 0.3881
0.6 7.0 0.2300 0.0673 0.2300 0.0673 0.7605 0.5845
0.8 7.0 0.2562 0.0908 0.2563 0.0908 1.4063 0.8648
SS at \(Pr=0.71\) 0.3333 0.1667 0.3333 0.1667 0.3629 0.3629
SS at \(Pr=7.0\) 0.3333 0.1667 0.3333 0.1667 0.6250 0.6250

4. Conclusion

The temporary free convection flow of a viscous and incompressible fluid in a vertical plates has been investigated through the fractional time derivative model (CF and ABC) and ramped temperature with an isothermal heating process. The graphical representation and numerical tabulation of the semi-analytical results are made for the analysis of the pertinent parameters that govern the flow of the fluid and heat generation in the system. In the course of analysis, it is revealed that both temperature and velocity via CF and ABC models increase with the increase in time \(t\), \(\lambda_1\) and \(\lambda_2\). It is detected that the negative increment of heat source/sink \(A\) retardate the movements of the fluid while the positive progression of \(A\) enhances the movement of the fluid. Also noticed that the temperature produced through a ramped temperature is higher than the constant temperature.

Nomenclature

\(C_p\) Specific heat \((Jkg^{-1}K^{-1})\)
\(x',y'\) Dimensional coordinates system \((m)\)
\(y\) Dimensionless coordinate in \(y\)-direction
\(t'\) Dimensional time \((s)\)
\(t\) Dimensionless time
\(u'\) Dimensional velocity \((ms^{-1})\)
\(\bar U\) Dimensionless velocity in Laplace domain
\(U\) Dimensionless velocity in time domain
\(T'\) Dimensional temperature of the fluid \((K)\)
\(r\) Distance between the two plates \((m)\)
\(T_w\) Temperature at \(y'=0\) \((K)\)
\(T_r'\) Temperature at \(y'=r\) \((K)\)
\(g\) Acceleration related to gravity \((m\,s^{-2})\)
\(Pr\) Prandtl number
\(k\) Thermal conductivity \((J\,s^{-1}K^{-1}m^{-1})\)
\(Q\) Dimensionless mass flux
\(A'\) Dimensional heat source/sink \((kgm^{-1}s^{-3})\)
\(A\) Dimensionless heat source/sink
\(t_0'\) Dimensional reference time \((s)\)
\(t_0\) Dimensionless reference time
\(\beta_f\) Thermal expansion coefficient \((K^{-1})\)
\(\rho\) Density \((Kg\,m^{-3})\)
\(\nu\) Kinematic viscosity \((m^2\,s^{-1})\)
\(\mu\) Dynamic viscosity \((kg\,m^{-1}\,s^{-1})\)
\(\bar\theta\) Dimensionless temperature in Laplace domain
\(\theta\) Dimensionless temperature in time domain
\(\alpha,\beta\) Fractional order parameters
\(\lambda_1,\lambda_2\) Relaxation time parameters
\(\bar\tau_0,\bar\tau_1\) Dimensionless skin friction in Laplace domain at \(y=0\) and \(y=1\)
\(\tau_0,\tau_1\) Dimensionless skin friction in time domain at \(y=0\) and \(y=1\)

References

  1. Bodoia, J. R., & Osterle, J. F. (1962). The development of free convection between heated vertical plates. Journal of Heat Transfer,84(1), 40-43 .

  2. Aung, W., & Worku, G. (1986). Theory of fully developed, combined convection including flow reversal. Journal of Heat Transfer,108(2), 485-488.

  3. Aung, W. (1972). Fully developed laminar free convection between vertical plates heated asymmetrically. International Journal of Heat and Mass Transfer, 15(8), 1577-1580.

  4. Singh, A. K., Gholami, H. R., & Soundalgekar, V. M. (1996). Transient free convection flow between two vertical parallel plates. Heat and mass transfer, 31(5), 329-331.

  5. Paul, T., Jha, B. K., & Singh, A. K. (1996). Transient free convective flow in a vertical channel with constant temperature and constant heat flux on walls. Heat and Mass Transfer, 32(1), 61-63.

  6. Paul, T., Jha, B. K., & Singh, A. K. (2001). Transient natural convection in a vertical channel. International Journal of Applied Mechanics and Engineering, 6(4), 913-922.

  7. Jha, B. K., & Oyelade, I. O. (2022). The role of dual-phase-lag (DPL) heat conduction model on transient free convection flow in a vertical channel. Partial Differential Equations in Applied Mathematics, 5, 100266.

  8. Jha, B. K., & Ajibade, A. O. (2010). Transient natural convection flow between vertical parallel plates: one plate isothermally heated and the other thermally insulated. Proceedings of the Institution of Mechanical Engineers, Part E: Journal of Process Mechanical Engineering, 224(4), 247-252.

  9. Khadrawi, A. F., & Al-Nimr, M. A. (2007). Unsteady natural convection fluid flow in a vertical microchannel under the effect of the dual-phase-lag heat-conduction model. International Journal of Thermophysics, 28(4), 1387-1400.

  10. Narahari, M., Sreenadh, S., & Soundalgekar, V. M. (2002). Transient free convection flow between long vertical parallel plates with constant heat flux at one boundary. Journal of Thermophysics and Aeromechanics, 9(2), 287-293.

  11. Rajput, U. S., & Sahu, P. K. (2011). Transient free convection MHD flow between two long vertical parallel plates with constant temperature and variable mass diffusion. Journal of Math. Analysis, 34(5), 1665-1671.

  12. Mandal, H. K., Das, S., & Jana, R. N. (2014). Transient free convection in a vertical channel with variable temperature and mass diffusion. Chemical and Process Engineering Research, 23, 38-54.

  13. Ravi, S. K., Singh, A. K., Singh, R. K., & Chamkha, A. J. (2013). Transient free convective flow of a micropolar fluid between two vertical walls. International Journal of Industrial Mathematics, 5(2), 87-95.

  14. Narahari, M. (2012). Transient free convection flow between long vertical parallel plates with ramped wall temperature at one boundary in the presence of thermal radiation and constant mass diffusion. Meccanica, 47(8), 1961-1976.

  15. Caputo, M. (1967). Linear models of dissipation whose Q is almost frequency independent—II. Geophysical Journal International, 13(5), 529-539.

  16. Imran, M. A., Shah, N. A., Khan, I., & Aleem, M. (2018). Applications of non-integer Caputo time fractional derivatives to natural convection flow subject to arbitrary velocity and Newtonian heating. Neural Computing and Applications, 30(5), 1589-1599.

  17. Caputo, M., & Fabrizio, M. (2015). A new definition of fractional derivative without singular kernel. Progress in Fractional Differentiation & Applications, 1(2), 73-85.

  18. Shah, N. A., Zafar, A. A., & Fetecau, C. (2018). Free convection flows over a vertical plate that applies shear stress to a fractional viscous fluid. Alexandria Engineering Journal, 57(4), 2529-2540.

  19. Atangana, A., & Baleanu, D. (2016). New fractional derivatives with nonlocal and non-singular kernel: theory and application to heat transfer model. arXiv preprint arXiv:1602.03408.

  20. Abro, K. A., Khan, I., & Tassaddiq, A. (2018). Application of Atangana-Baleanu fractional derivative to convection flow of MHD Maxwell fluid in a porous medium over a vertical plate. Mathematical Modelling of Natural Phenomena, 13(1), 1.

  21. Tassaddiq, A. (2019). MHD flow of a fractional second grade fluid over an inclined heated plate. Chaos, Solitons & Fractals, 123, 341-346.

  22. Jha, B. K., Oyelade, I. O., & B Malgwi, P. (2022). The Caputo–Fabrizio (CF) and Atangana–Baleanu in Caputo sense (ABC) fractional time‐derivative approach on transient free convection flow between two vertical parallel plates: A semi‐analytical solution. Heat Transfer, 51(1), 841-865.

  23. Imran, M. A., Aleem, M., Riaz, M. B., Ali, R., & Khan, I. (2019). A comprehensive report on convective flow of fractional (ABC) and (CF) MHD viscous fluid subject to generalized boundary conditions. Chaos, Solitons & Fractals, 118, 274-289.

  24. Saeed, S. T., Riaz, M. B., Baleanu, D., & Abro, K. A. (2020). A mathematical study of natural convection flow through a channel with non-singular kernels: An application to transport phenomena. Alexandria Engineering Journal, 59(4), 2269-2281.

  25. Jha, B. K., & Gambo, Y. Y. U. (2019). Dufour effect with ramped wall temperature and specie concentration on natural convection flow through a channel. Physics, 1(1), 111-130.

  26. Jha, B. K., & Gambo, Y. Y. (2020). Soret and Dufour effects on transient free convention heat and mass transfer flow in a vertical channel with ramped wall temperature and specie concentration: an analytical approach. Arab Journal of Basic and Applied Sciences, 27(1), 344-357.

  27. Narahari, M., & Raghavan, V. R. (2009, July). Natural convection flow in vertical channel due to ramped wall temperature at one boundary. In Proceedings of the ASME 2009 heat transfer summer conference (pp. 1-8).

  28. Jha, B. K. (2012). Natural convection flow of heat generating/absorbing fluid near a vertical plate with ramped temperature. Journal of Encapsulation and Adsorption Sciences, 2, 61-68.

  29. Das, K. (2012). Magnetohydrodynamics free convection flow of a radiating and chemically reacting fluid past an impulsively moving plate with ramped wall temperature. Journal of Applied Mechanics, 79(6): 061017.

  30. Marneni, N., Tippa, S., & Pendyala, R. (2015). Ramp temperature and Dufour effects on transient MHD natural convection flow past an infinite vertical plate in a porous medium. The European Physical Journal Plus, 130(12), 251.

  31. Narahari, M. (2012). Transient free convection flow between long vertical parallel plates with ramped wall temperature at one boundary in the presence of thermal radiation and constant mass diffusion. Meccanica, 47(8), 1961-1976.

  32. Zhao, J., Zheng, L., Zhang, X., & Liu, F. (2016). Unsteady natural convection boundary layer heat transfer of fractional Maxwell viscoelastic fluid over a vertical plate. International Journal of Heat and Mass Transfer, 97, 760-766.